[最も人気のある!] (a-b)^3 expanded 116219-(a+b)^3 expanded
Click here👆to get an answer to your question ️ Expansion of (a b)^3 isO 1, 4, 6, 4, 1 O 1,1 O 1, 2,1 O 1,3,3, 1 2 See answers esbeydeeromero esbeydeeromero The fourth option I got that last time happy244 happy244 Answer D Stepbystep explanation New questions in MathematicsWhat are the coefficients for the binomial expansion of (a b)3?
Solved Exercise 2 1 Sigma Notation Review Write The Sum Chegg Com
(a+b)^3 expanded
(a+b)^3 expanded-(ab)^3=(ab)(a^22abb^2) We will now expand these two brackets, first multiplying the a in the lefthand bracket by everything in the righthand bracket, and then multiplying the b in the lefthand bracket by everything in the righthand bracket Doing so, we get, (ab)(a^22abb^2)=a^32a^2bab^2a^2b2ab^2b^3= 8x 3 36x 2 y 54xy 2 27y 3 8x 3 36x 2 y 54xy 2 27y 3 = 72x 2 y 54y 3 If you would like to contribute notes or other learning material, please submit them using the button below


Example 1 Expand X 2 3 X 4 Binomial Theorem Class 11
Example Expand 3 × (52) Answer It is now expanded We can also complete the calculation 3 × (52) = 3 × 5 3 × 2 = 15 6 = 21 In Algebra In Algebra putting two things next to each other usually means to multiply So 3(ab) means to multiply 3 by (ab) Here is an example of expanding, using variables a,If not, which expansion should I look up to do so?In mathematics, the expanded form of a number is defined as the notation It is the way of writing the numbers to define the individual digit value When the numbers are written using place value, it will create a new algebraic
= 8x 3 36x 2 y 54xy 2 27y 3 8x 3 36x 2 y 54xy 2 27y 3 = 72x 2 y 54y 3 If you would like to contribute notes or other learning material, please submit them using the button belowIn elementary algebra, the binomial theorem (or binomial expansion) describes the algebraic expansion of powers of a binomialAccording to the theorem, it is possible to expand the polynomial (x y) n into a sum involving terms of the form ax b y c, where the exponents b and c are nonnegative integers with b c = n, and the coefficient a of each term is a specific positive integer dependingTo get `tan(x)sec^3(x)`, use parentheses tan(x)sec^3(x) From the table below, you can notice that sech is not supported, but you can still enter it using the identity `sech(x)=1/cosh(x)` If you get an error, doublecheck your expression, add parentheses and multiplication signs where needed, and consult the table below
To find an expansion for (a b) 8, we complete two more rows of Pascal's triangle Thus the expansion of is (a b) 8 = a 8 8a 7 b 28a 6 b 2 56a 5 b 3 70a 4 b 4 56a 3 b 5 28a 2 b 6 8ab 7 b 8 We can generalize our results as follows The Binomial Theorem Using Pascal's Triangle For any binomial a b and any natural number n,Introduction to a minus b whole cube identity with example problems and proofs to learn how to derive ab whole cube formula in mathematicsTo find an expansion for (a b) 8, we complete two more rows of Pascal's triangle Thus the expansion of is (a b) 8 = a 8 8a 7 b 28a 6 b 2 56a 5 b 3 70a 4 b 4 56a 3 b 5 28a 2 b 6 8ab 7 b 8 We can generalize our results as follows The Binomial Theorem Using Pascal's Triangle For any binomial a b and any natural number n,


Msbshse Solutions For Class 8 Maths Part 1 Chapter 5 Expansion Formulae Download For Free


Madasmaths Com Archive Maths Booklets Standard Topics Various Binomial Series Expansions Exam Questions Pdf
The expansion of (ab)^3 is(ab)^3 (a b)^3 ( a b ) ^ 3 ( a b ) ^ 3 and this will go on for ever Just write the expression on your page and see the miracle(a 3 3a 2 b 3ab 2 b 3)(ab) = a 4 4a 3 b 6a 2 b 2 4ab 3 b 4 The calculations get longer and longer as we go, but there is some kind of pattern developing That pattern is summed up by the Binomial TheoremExpansion The cube of difference between any two terms is expanded as the subtraction of three times the product of both terms and the subtraction of the second term from the first term, from the subtraction of the cube of the second term from the cube of the first term $\implies$ $(ab)^3$ $\,=\,$ $a^3b^33ab(ab)$ Simplification


Formula For A Plus B Whole Square


A B 6
You can check the formulas of A plus B plus C Whole cube in three ways We are going to share the (abc)^3 algebra formulas for you as well as how to create (abc)^3 and proof weCompute answers using Wolfram's breakthrough technology & knowledgebase, relied on by millions of students & professionals For math, science, nutrition, historyPrecalculus The Binomial Theorem The Binomial Theorem 1 Answer


Solved Spanning Tree The Following Is A Weighted Undirec Chegg Com


What Is The Expansion Of A B C 3 Quora
A Plus B Plus C Whole cube Are you looking for A plus B plus C Whole cube?How do you use the binomial formula to expand #(x1)^3#?Prentice Hall Mathematics, Algebra 2 (0th Edition) Edit edition Problem 69E from Chapter 68 What is the expanded form of (a − b)3?A a3 a2b ab2 b3 Get solutions


Solved 3 Figure 2 Is A Search Tree Which Can Be Expanded Chegg Com


Find The Cube Of 43 Using Expanded Form Of A B 3 Brainly In
Make a Pascal's triangle down to the line that starts with 1 4 Start with thisBut there's three ways to get to a squared b And you could multiply it out, and we did it We did it all the way back over here There's three ways to get a squared b We saw that right over there And there are three ways to get a b squared Three ways to get a b squared And if you sum this up you have the expansion of a plus b to the thirdStep 3 Finally, the expanded form of a number will be displayed in the output field What is Meant by Expanded Form?


Binomial Theorem Properties Terms In Binomial Expansion Examples Pdf


Binomial Theorem
Pascal's triangle can be used to find the coefficient of binomial expansion (a b) 0 1 (a b) 1 1 1 (a b) 2 1 2 1 (a b) 3 1 3 3 1 (a b) 4 1 4 6 4 1 (a b) 5 1 5 10 10 5 1 (a b) 6 1 6 15 15 6 1F (x) = x^3 b^3 x=b is a root of f (x), so we can divide (xb) by any method you choose The quotient will be x^2 bx b^2 which shows that x^3 b^3 = (xb) (x^2 bx b^2) Then, setting x = a, we have the same factorization as above Show more(a b) 3 = a 3 3a 2 b 3ab 2 b 3 or (a b) 3 = a 3 b 3 3ab(a b) Practice Problems Problem 1 Expand (x 1) 3 Solution (x 1) 3 is in the form of (a b) 3 Comparing (a b) 3 and (x 1) 3, we get a = x b = 1 Write the formula / expansion for (a b) 3 (a b) 3 = a 3 3a 2 b 3ab 2 b 3 Substitute x for a and 1


Factorials To Binomial Theorem


Lesson 2 Power Rules I Will Understand How To Expand And Simplify Basic And Complex Exponents Ppt Download
The calculator can also make logarithmic expansions of formula of the form `ln(a^b)` by giving the results in exact form thus to expand `ln(x^3)`, enter expand_log(`ln(x^3)`), after calculation, the result is returned The calculator makes it possible to obtain the logarithmic expansion of an expressionExpand using Pascal's Triangle (ab)^6 Pascal's Triangle can be displayed as such The triangle can be used to calculate the coefficients of the expansion of by taking the exponent and adding The coefficients will correspond with line of the triangle For ,(a 3 3a 2 b 3ab 2 b 3)(ab) = a 4 4a 3 b 6a 2 b 2 4ab 3 b 4 The calculations get longer and longer as we go, but there is some kind of pattern developing That pattern is summed up by the Binomial Theorem


The Binomial Theorem Example 2 Youtube


A B 3 Expanded Form
Definition binomial A binomial is an algebraic expression containing 2 terms For example, (x y) is a binomial We sometimes need to expand binomials as follows (a b) 0 = 1(a b) 1 = a b(a b) 2 = a 2 2ab b 2(a b) 3 = a 3 3a 2 b 3ab 2 b 3(a b) 4 = a 4 4a 3 b 6a 2 b 2 4ab 3 b 4(a b) 5 = a 5 5a 4 b 10a 3 b 2 10a 2 b 3 5ab 4 b 5Clearly, doing this byHow to expand (ab)(ab) to equal a^2b^2?The steps to expand two brackets is to multiply each term in the first bracket with each term in the second bracketThe cube of the sum of two terms is expanded as the sum of cubes of both terms and three times the product of both terms and sum of them ⟹ (a b) 3 = a 3 b 3 3 a b (a b)


Solved Spanning Tree The Following Is A Weighted Undirec Chegg Com


The Binomial Theorem Fractional Powers Expanding 1 2x 1 3 Youtube
(a b) 3 = a 3 3a 2 b 3ab 2 b 3 or (a b) 3 = a 3 b 3 3ab(a b) Solved Problems Problem 1 Expand (x 2) 3 Solution (x 2) 3 is in the form of (a b) 3 Comparing (a b) 3 and (x 2) 3, we get a = x b = 2 Write the formula / expansion for (a b) 3 (a b) 3 = a 3 3a 2 b 3ab 2 b 3 Substitute x for a and 2 for b= (a b)(a b)(a b) = (a b)(a² ab ab b²) = (a b)(a² 2ab b²) = a³ 2a²b ab² a²b 2ab² b³ = a³ 3a²b 3ab² b³Expansion of $(ab)^{1/3}$ with binomial theorem Ask Question Asked 2 years, 11 months ago Active 2 years, 11 months ago Viewed 1k times 1 $\begingroup$ I want to expand $(ab)^{1/3}$ using the binomial theorem 1) Is it possible to do that?


How To Expand A B A B Youtube


Form 2 Unit 2 Lesson 5 Expansion Of Algebraic Expression Brilliant Maths
A B 3 Expansion Source(s) https//shrinkeim/bak2d 0 0 Judith Lv 4 5 years ago For the best answers, search on this site https//shorturlim/avcp8 The key synthesizer workstations such as Roland Fantom X8, Yamaha Motif ES8 and Korg Triton Studio have the hammerweighted key feel of an acoustic piano The sound depends on theSolved Write in expanded form (2a b)^{3} By signing up, you'll get thousands of stepbystep solutions to your homework questions You can alsoPascal's triangle can be used to find the coefficient of binomial expansion (a b) 0 1 (a b) 1 1 1 (a b) 2 1 2 1 (a b) 3 1 3 3 1 (a b) 4 1 4 6 4 1 (a b) 5 1 5 10 10 5 1 (a b) 6 1 6 15 15 6 1


Expand 2a 3b Whole Cube Using Suitable Identity Brainly In


What Is The Correct Formula Of Math A B 3 Math Quora
Expansion of $(ab)^{1/3}$ with binomial theorem Ask Question Asked 2 years, 11 months ago Active 2 years, 11 months ago Viewed 1k times 1 $\begingroup$ I want to expand $(ab)^{1/3}$ using the binomial theorem 1) Is it possible to do that?Question Multiply to find the expanded form of each product 1 (a b)^2 2 (a b)^3 3 (a b)^4 Answer by Edwin McCravy() (Show Source) You can put this solution on YOUR website!^3 a^2b ab^2 b^3 ba^3 a^2b ab^2 b^3 ca^3 3a^2b 3ab^2 b^3 da^3 3a^2b 3ab^2 b^3 How legal titan Tom Girardi seduced the Calif State Bar


A B 2 A B A Ab B B 9 4 12 X Y X Y Aˆ 9 3 X X 4 2


What Is The Formula Of Math A B 3 Math Quora
(abc) 3 a 3 b 3 c 3 We can choose three "a"'s for the cube in one way C(3,3)=1, or we can choose an a from the first factor and one from the second and one from the third, being the only way to make a3 The coefficient of the cubes is therefore 1 (It's the same for a, b and c, of course) 3a 2 b3a 2 c Next, we consider the a 2 terms WeCube Formulas (a b) 3 = a 3 b 3 3ab (a b) (a − b) 3 = a 3 b 3 3ab (a b) a 3 − b 3 = (a − b) (a 2 b 2 ab) a 3 b 3 = (a b) (a 2 b 2 − ab) (a b c) 3 = a 3 b 3 c 3 3 (a b) (b c) (c a) a 3 b 3 c 3 − 3abc = (a b c) (a 2 b 2 c 2 − ab − bc − ac) If (a b c) = 0,Pascal triangles gives us the coefficients for an expanded binomial of the form (ab)n,where n is now the row of the triangle shanmso2 shanmso2 The coefficients of the terms come from rows of the triangle If the exponent is n, look at the entries in row n New questions in Mathematics


Madasmaths Com Archive Maths Booklets Standard Topics Various Binomial Series Expansions Exam Questions Pdf


The Binomial Theorem Binomial Expansions Using Pascal S Triangle Subsets
Example Expand 3 × (52) Answer It is now expanded We can also complete the calculation 3 × (52) = 3 × 5 3 × 2 = 15 6 = 21 In Algebra In Algebra putting two things next to each other usually means to multiply So 3(ab) means to multiply 3 by (ab) Here is an example of expanding, using variables a,1 3 3 1Free expand & simplify calculator Expand and simplify equations stepbystep


What Is The Correct Formula Of Math A B 3 Math Quora


Binomial Theorem Expansion Pascal S Triangle Finding Terms Coefficients Combinations Algebra 2 Youtube
Compute answers using Wolfram's breakthrough technology & knowledgebase, relied on by millions of students & professionals For math, science, nutrition, history(x 3) 3 We know that (a b) 3 = a 3 3a 2 b 3ab 2 b 3 In the given example, a = x and b = 3 ∴ `(x 3)^3 = (x)^3 3 xx x^2 xx 3 3 xx x xx (3)^2 (3)^3` ∴ `(x 3)^3 = x^3 9x^2 27x 27`(ab)^6 ANSWER Pascal's Triangle It is a triangle of numbers, which is given below 1 1 1 1 2 1 1 3 3 1 1 4 6 4 1 1 5 10 10 5 1 1 6 15 15 6 1 1 7 21 35 35 21 7 1 1 8 28 56 70 56 28 8 1 1 9 36 84 126 126 84 36 9 1 Each number in the triangle is the sum of two above For example, the 6 on line 5 is the sum of the pair of 3's above So the


Pascal S Triangle And The Binomial Theorem


What Is The Formula Of Math A 3 B 3 Math Quora
Click here👆to get an answer to your question ️ Expansion of (a b)^3 isIntroduction to a plus b whole cube formula with example problems with proofs to learn how to derive ab whole cube identity in mathematicsIf not, which expansion should I look up to do so?


Example 1 Expand X 2 3 X 4 Binomial Theorem Class 11


Solved What Is The Expanded Form Of A B 3
Expanded form calculator shows expanded forms of a number including expanded notation form, expanded factor form, expanded exponential form and word form Expanded form or expanded notation is a way of writing numbers to see the math value of individual digits When numbers are separated into individual place values and decimal places they can


How Do You Expand X Y 6 Using Pascal S Triangle Socratic


Write And Expand Multiplication Expressions Solutions Examples Worksheets Videos Lesson Plans


Pascal S Triangle And The Coefficients In The Expansion Of Binomials Ck 12 Foundation


Expand And Simplify Trinomial Square A B C 2 A 2 B 2 C 2 2ab 2ac 2bc Youtube


A B 3 Expanded Form


What Is The Formula Of Math A B 3 Math Quora


What Is The Expansion Of A B C 3 Quora


Binomial Theorem Topics In Precalculus


2 50 Marks I Which Of The Following Is The Sim Chegg Com


Expanding Algebraic Expressions Using Identities Worksheets


Write And Expand Multiplication Expressions Solutions Examples Worksheets Videos Lesson Plans


Expanding Algebraic Expressions Using Identities Worksheets


Solved Exercise 2 1 Sigma Notation Review Write The Sum Chegg Com


Ex 8 1 5 Expand X 1 X 6 Chapter 8 Class 11 Ncert


Form 2 Unit 2 Lesson 5 Expansion Of Algebraic Expression Brilliant Maths


Multinomial Expansion


Expanding Binomials Video Polynomials Khan Academy


What Is The Formula Of Math A B 3 Math Quora


What Is The Expansion Of A B C 3 Quora


What Is A B 3 Quora


Q Tbn And9gcrswdldblxmiitn Ggstx6knbcgxw3sex0r673zeswoh Igfkvn Usqp Cau


Ex 2 5 6 Write The Following Cubes In Expanded Form Ex 2 5


General And Middle Term Binomial Theorem Formula Videos Examples


Basic Expansion Of Algebraic Expressions For Children Math Methods Studying Math Algebraic Expressions


How To Expand Using The Identity A B 2 B2 2ab Youtube


Memory Phenotype And Exhaustion Marker Expression On Expanded Cd3 Ab Download Scientific Diagram


Expanding Algebraic Expressions Using Identities Worksheets


Erythroid Cells Expanded From Pv And Cb Respond Readily To Scf A Download Scientific Diagram


A Plus B Cube Algebra Identity Explained Step By Step Youtube


Write The Following Cubes In Expanded Form 3 2x 1 Brainly In


A B Formula Identity


What Is A B 3 Quora


A B 3 Expansion


Solved Question 27 Determine The Sum Of The First 11 Term Chegg Com


Multinomial Expansion


How To Expand Using The Identity A B 2 B2 2ab Youtube


Binomial Theorem


Search Q Binomial Theorem Tbm Isch


What Is The Expansion Of A B C 3 Quora


Search Q A 5e2 2bb 5e2 Tbm Isch


Ex 2 5 6 Write The Following Cubes In Expanded Form Ex 2 5


Binomial Coefficients And The Binomial Theorem


Chapter 4 Expansion Selina Concise Mathematics Part I Solutions For Class 9 Mathematics Icse Topperlearning


The Binomial Theorem Binomial Expansions Using Pascal S Triangle Subsets


Squaring A Binomial Expii


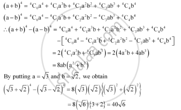
Find A B 4 A B 4 Hence Evaluate Sqrt3 Sqrt2 4 Sqrt3 Sqrt2 4 Mathematics Shaalaa Com


The Binomial Theorem Binomial Expansions Using Pascal S Triangle Subsets


X 4 Cubed Expanded


Solved Recall That We Can Use The Binomial Theorem To Exp Chegg Com


Algebra Formulas A B 3 A B 2 A B C 3 A 3 B 3 Teachoo


Example 19 Write 3a 4b 5c 2 In Expanded Form Examples


The Binomial Theorem Binomial Expansions Using Pascal S Triangle Subsets


Binomial Theorem Wikipedia


The Binomial Theorem Explained With A Special Splash Of Pascal S By Brett Berry Math Hacks Medium


Write 3x 5y 3 In The Expanded Form Mathematics Topperlearning Com 4zec6ew


Expanding Algebraic Expressions Using Identities Worksheets


Binomial Theorem


Binomial Theorem Wikipedia


What Is A B 3 Quora


Solved I Wrote My Answers In Expanded Form By Mistake Ca Chegg Com


Madasmaths Com Archive Maths Booklets Standard Topics Various Binomial Series Expansions Exam Questions Pdf


Ex 2 5 6 Write The Following Cubes In Expanded Form Ex 2 5


How To Cube Binomials


What Is The Expansion Of A B C 3 Quora


How To Expand Using The Identity A B C 2 B2 C2 2ab 2bc 2ca Youtube


A B N And A B N Formula Expander


Expand And Simplify Binomial Squares 2x 3y 2 Youtube


Smp 7 Experiments In Learning By Doing


What Is The Formula Of Math A B 3 Math Quora


The Binomial Theorem Binomial Expansions Using Pascal S Triangle Subsets


How Do You Expand X Y 10 Socratic


3 Ways To Use The Perfect Square Identity As A Shortcut In Expansion


Misc 9 Expand Using Binomial Theorem 1 X 2 2 X 4 Miscellaneou


Find Middle Term For Even Power Binimial Expansion Youtube

コメント
コメントを投稿